In mathematics, a combination is a selection of items from a larger set where the order of selection does not matter. It is a way of selecting items from a larger set such that different orders of selection do not count as different combinations. Unlike permutations, which consider order, combinations only focus on the chosen elements.
Watch Video
Enter values for n (total items) and r (selected items):
Total Items n
Selected Items r
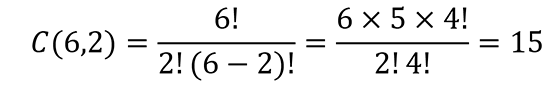
The formula for finding the number of combinations (or 𝑟-subsets) when selecting 𝑟 elements from a set of 𝑛 elements is:

where:
• C(n, r) represents the number of ways to select r items from n without regard to order.
• n is the total number of items in the set.
• r is the number of items selected from the set.
• r! accounts for the number of ways to arrange the selected r items.
• (n-r)! adjusts for the remaining unselected items.
• 0 ≤ r ≤ n (The number of selected items must be within this range).
Combinations play a crucial role in various fields where the selection of objects matters, but their order does not. From statistics to science, business, and sports, understanding combinations helps solve complex problems involving grouping and selection.
• Used for selecting random samples from a population in surveys and research.
• Helps in data analysis, polling, and medical trials.
• Essential in statistical inference and hypothesis testing.
• Determines the number of ways to pick winning numbers in a lottery.
• Used in card games like poker, where the hand composition matters, but order does not.
• Helps calculate probabilities of different game outcomes.
• Used in designing clinical trials by selecting test subjects from a group.
• Helps in chemical experiments, where different compounds are tested in groups.
• Applied in astronomy and physics for selecting observation targets.
• Helps businesses create customer focus groups for market research.
• Used in advertising strategies, such as selecting a combination of promotional offers.
• Optimizes product bundling and discount planning.
• Used in team formation when picking players for a match.
• Helps in fantasy sports leagues, where teams are formed from a large player pool.
• Determines different ways to form matchups in tournaments.
• Applied in DNA sequencing, where different genetic markers are selected.
• Used in disease control research, like selecting a group for vaccine trials.
• Helps in drug discovery by selecting test compounds from a large set.
• Used to create exam question sets from a larger pool of questions.
• Helps teachers randomly select students for group projects.
• Used in multiple-choice test generation, where specific topics are chosen.
• Helps in warehouse storage, determining different ways to store grouped items.
• Used in shipment packaging, where a set number of items must be chosen for transport.
• Applied in inventory restocking, selecting which products to reorder.
A company is conducting market research and needs to form a focus group of 6 people out of 15 candidates. Due to diversity requirements, exactly 3 of the 6 must be from Region A, and the remaining 3 must be from Region B. There are 8 candidates from Region A and 7 from Region B. How many ways can the focus group be chosen?
Solution
First, choose 3 people from Region A (8 candidates available):

Next, choose 3 people from Region B (7 candidates available):

Multiply these results to get the total number of ways to form the focus group:

Answer:There are 1,960 ways to form the focus group.
An engineering firm needs to create a 5-member committee from a pool of 12 employees. The committee must include at least 2 experts in cybersecurity. If there are 4 cybersecurity experts in the pool, how many ways can the committee be chosen?
Solution
We will evaluate all possible cases where the committee includes at least 2 cybersecurity experts.
Case 1: Choose 2 cybersecurity experts and 3 non-experts.
• Ways to choose 2 cybersecurity experts from 4:

• Ways to choose 3 non-experts from the remaining 8:

• Total ways for this case:

Case 2: Choose 3 cybersecurity experts and 2 non-experts.
• Ways to choose 3 cybersecurity experts from 4:

• Ways to choose 2 non-experts from the remaining 8:

• Total ways for this case:

Case 3: Choose 4 cybersecurity experts and 1 non-expert.
• Ways to choose 4 cybersecurity experts from 4:

• Ways to choose 1 non-expert from the remaining 8:

• Total ways for this case:

Final Calculation
Now we add the results from all cases to get the total number of ways to form the committee with at least 2 cybersecurity experts:

Answer:There are 456 ways to form the committee under these requirements.
A restaurant offers 9 different side dishes and wants to create a lunch special with 4 side dishes. The lunch special must include at least 1 vegetarian option out of the 3 vegetarian side dishes. How many different lunch specials can be created?
Solution
We will consider all cases where the lunch special includes at least 1 vegetarian dish.
Case 1: Choose 2 cybersecurity experts and 3 non-experts.
• Ways to choose 1 vegetarian side dish from 3:

• Ways to choose 3 non-vegetarian side dishes from the remaining 6:

• Total ways for this case:

Case 2: Choose 2 vegetarian and 2 non-vegetarian dishes.
• Ways to choose 2 vegetarian side dishes from 3:

• Ways to choose 2 non-vegetarian side dishes from the remaining 6:

• Total ways for this case:

Case 3: Choose 3 vegetarian and 1 non-vegetarian dish.
• Ways to choose 3 vegetarian side dishes from 3:

• Ways to choose 1 non-vegetarian side dish from the remaining 6:

• Total ways for this case:

Final Calculation
Now we add the results from all cases to get the total number of ways to create lunch specials with at least 1 vegetarian option:

Answer:There are 111 different lunch specials possible.
If 4 Maths books are selected from 6 different Maths books and 3 English books are chosen from 5 different English books, how many ways can the seven books be arranged on a shelf if:
a) There are no restrictions?
b) The 4 Maths books remain together?
c) A Maths book is at the beginning of the shelf?
d) Maths and English books alternate?
Solution
Step 1: Calculating the Number of Ways to Select the 7 Books
• Selecting 4 Maths books out of 6:

• Selecting 3 English books out of 5:

• Total number of ways to select the 7 books:

So, there are 150 ways to select the set of 7 books.
Step 2: Arranging the Selected Books on a Shelf
Once the books are selected, we can arrange them in various ways depending on the conditions in each part of the question.
a) No Restrictions
Since there are no restrictions, we simply arrange the 7 books in any order. The number of arrangements of 7 distinct books is:

So, with no restrictions, there are 756,000 ways to arrange the 7 books.
b) The 4 Maths Books Remain Together
If the 4 Maths books remain together, we can treat these 4 Maths books as a single "block". This gives us 4 books in total to arrange: 1 "block" of Maths books and 3 individual English books.
• Arranging the 4 "blocks" (1 Maths block and 3 English books):
The 4 blocks can be arranged in 4! ways:

• Arranging the 4 Maths books within their block:
Since the Maths books are distinct, we can arrange them in 4! ways within the block:

• Total number of ways to select the 7 books:

So, with the 4 Maths Books remain together, there are 86,400 ways to arrange the 7 books.
c) A Maths book is at the beginning of the shelf
• Place a Maths Book at the Beginning:
• There are 4 chosen Maths books (from the initial selection process). Any one of these 4 Maths books can be placed at the beginning of the shelf.
• So, we have 4 choices for the Maths book in the first position.
• Arranging the Remaining 6 Books:
• Now, with the remaining 3 Maths books and 3 English books, we can arrange these 6 books in 6! ways.

• Total Calculation:
• Multiply the choices for the first Maths book by the number of ways to select the remaining 6 books and then by the number of arrangements of these 6 books:

If a Maths book is required to be at the beginning of the shelf, there are 432,000 ways to arrange the 7 books on the shelf.
d) Maths and English books alternate?
Given that there are 4 Maths books and 3 English books, there are only two feasible alternating patterns:
Pattern 1:

Pattern 2:

Since we have 4 Maths books and 3 English books, only Pattern 1 is possible (starting with a Maths book and alternating with English books).
Solution Steps
1. Selecting the Books:
• Choose 4 Maths books from 6 available Maths books:

• Choose 3 English books from 5 available English books:

• Total ways to select the books: 15×10=150
2. Arranging the Books in the Alternating Pattern:
• With the alternating pattern (Maths - English - Maths - English - Maths - English - Maths), we have 4 slots for Maths books and 3 slots for English books.
• Arranging the 4 Maths books in the 4 Maths slots:

• Arranging the 3 English books in the 3 English slots:

3. Calculating the Total Arrangements:
• Multiply the number of ways to select the books, the arrangements of the Maths books in their slots, and the arrangements of the English books in their slots:

If the Maths and English books alternate, there are 21,600 ways to arrange the 7 books on the shelf.
A combination is a selection of items from a group where order does not matter.

Order Matters in Permutations, but Not in Combinations!
.
Statistics and Research – Selecting survey participants or medical trial subjects.
Lotteries and Gambling – Picking winning numbers in a lottery.
Sports and Teams – Forming teams or selecting players for a match.
Business and Marketing – Creating product bundles or focus groups.
Science and Genetics – Choosing DNA samples for research.
Combinations are all around us! They help us efficiently count and select groups without considering order. From forming teams to conducting research, mastering combinations opens new doors in problem-solving, probability, and strategic decision-making!